我们平时将一些资料、文件或者试卷用手机拍下来,再打印出来的时候会发现,打印的文件都有黑底,文字不清晰,非常影响阅读。下面就来教大家几个方法,可以有效去除打印文件的黑底,变成白底黑字的效果,掌握了这几种方法以后,就再也不用担心手机拍照的图片打印发黑这个问题了!
日常工作和生活中,我们经常会遇到这种情况,一些有用的文件、资料或者是作业试卷,我们用手机拍下来以后进行打印,但是打印到纸张上面以后,都有黑色、灰色的背景。这个问题通常与拍照时的光线、手机相机的设置,以及打印机的调设有关。
想要让手机拍照的文件变成和电子文档一样的效果,是比较难的。如果我们将图片上的文字一一识别,再生成电子档进行打印,也比较费时间。图片不清晰的情况下,文字识别并不准确,我们还得一一校对并调整格式,这样效率并不高。
下面就来教大家几个方法,可以将手机拍的照片中的黑底有效去除,让底色变白,并且让文字变得更清晰,打印出来以后也是非常清晰的白底黑字效果。这几个方法操作都非常简单,也不需要用什么专业的图片处理工具,零基础也能轻松搞定,赶紧学起来!
手机拍照的文件去除黑底后的效果预览
处理前:

处理后:

方法一:使用核烁文档批量处理工具批量去除黑底
推荐指数:★★★★★
优点:
操作步骤简单,支持批量处理,上万张图片都能一键自动去黑底,省时省力!
无需上传和下载文件,处理好的图片保存在本机,可直接进行打印。
除了可以去除图片的黑底,还可以去除扫描版PDF文件的黑底,功能丰富,满足用户的多种需求。
缺点:
必须安装在电脑上使用,只支持Windows系统。
操作步骤:
1、打开【核烁文档批量处理工具】,选择【图片工具】→【图片效果增强】。

2、点【添加文件】,将所有需要去除黑底的图片都添加到这里。也可以从文件夹中导入文件,或者直接拖放,大家选择一种顺手的方式即可。

3、选择【文字清晰度】,并拖动滑轨调整数值。这里我们设置为45%作为示例。

4、点【保存位置】查看处理后的文件,所有图片都已经去除了黑底,变得更亮更清晰了。

方法二:使用Microsoft Word将图片变成黑白
推荐指数:★★★☆☆
优点:
是常用的一种“应急处理“方法,无需安装PS,可以快速让拍照文档变成白底黑字。
操作步骤很简单,只需要插入图片→调整颜色,就能快速搞定,非常实用。
调整好以后可以直接打印或导出PDF,没有其它繁琐流程,非常方便。
缺点:
一次只能处理一张图片,无法一次性去除多张图片的黑底。
Word的去除黑底只是附带功能,效果有限,很难处理干净。
操作步骤:
1、打开Microsoft Word,点击【插入】→【图片】,将需要去除黑底的图片插入到Word文档中。
2、选择【颜色】→【重新着色】,这里我们将图片颜色调整为【黑白50%】,就可以成功去除黑底,变成白底黑字的效果。大家可以根据自己图片的实际颜色,按需选择调整方式。

方法三:使用微信扫描识别文档并调整图片颜色
推荐指数:★★★☆☆
优点:
直接在手机上操作,不需要借助电脑,不受时间和地点的限制,更便利。
微信小程序就有的功能,无需下载安装其它工具。
效果明显,处理后的图片接近“真正扫描仪”的干净白底与清晰黑字。
缺点:
会压缩图片画质,损失清晰度,放大打印容易模糊。
不能批量处理,只能手动一张一张调整。
操作步骤:
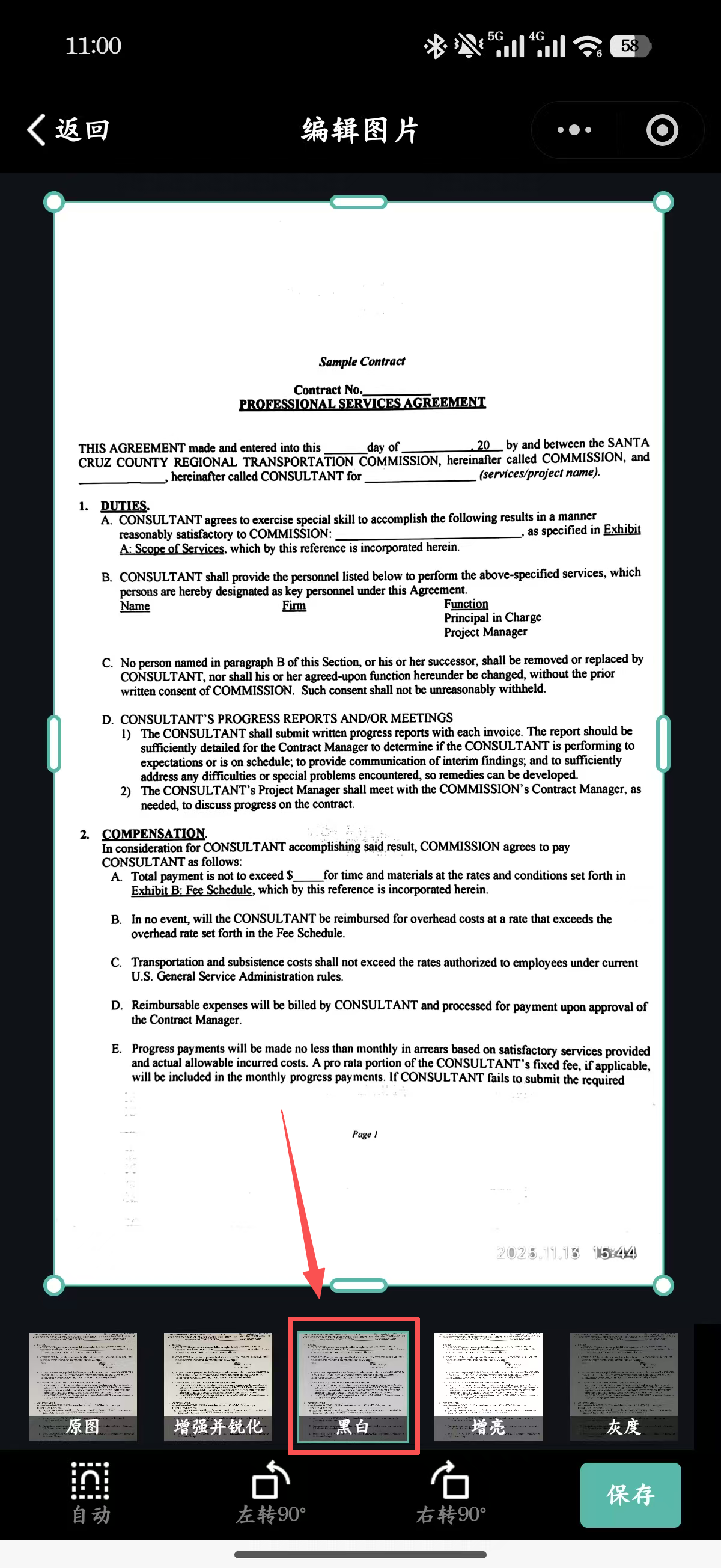
1、打开微信,搜索微信扫描,选择一个扫描小程序,这里以扫描全能王为例。
2、点击拍照,将纸质文件拍下来;或者直接选择手机里已经拍好的照片。选择下面的【黑白】,可以去除图片中的黑底,调整好以后保存到手机,再进行打印或其它处理。
